Mittwoch, 27. April 2011
Beispiele zu Gleitkommadarstellung (POS1: 1B)
Hier finden Sie ein paar Übungsbeispiele zu Gleitkommazahlen sowie die dazugehörige Lösung. Zunächst Konvertierung von Dezimalzahlen in Gleitkommazahlen. Es sind die Zahlen immer alle drei Formate zu bestimmen:
-0,15087890625
33
470,171875
-17,2145
-0,015625
12739
Beide Vorzeichen positiv
Mantisse: 1111100002
positiver Exponent: 1012 = 510
Zahl in normierter Gleitkommadarstellung: 0,111112 * 25 = 111112
Ergebnis: 31
Vorzeichen der Mantisse negativ, daher ist die Zahl negativ
Mantisse: 1100101012
positiver Exponent: 1112 = 710
Zahl in normierter Gleitkommadarstellung: -0,1100101012 * 27 = 1100101,012
Ergebnis: -101,25
beide Vorzeichen negativ, daher ist die Zahl negativ und der Exponent negativ
negative Mantisse: -1001101012
negativer Exponent, daher Zweierkomplement des Exponenten: 0102 = -210
Zahl in normierter Gleitkommadarstellung: -0,1001101012 * 2-2 = 0,001001101012
Ergebnis: -0.15087890625
(Vergleichen Sie das mit dem Ergebnis des Beispiels ganz oben!)
-0,15087890625
Nachkommateil:
0.15087891 | 0
0.30175781 | 0
0.60351562 | 1
0.20703125 | 0
0.41406250 | 0
0.82812500 | 1
0.65625000 | 1
0.31250000 | 0
0.62500000 | 1
0.25000000 | 0
0.50000000 | 1
Gesamt: 1 ,00100110101 (die 1 steht für das Vorzeichen -)
Mantisse wäre: 1001101010
Exponent wäre: -2
Exponent umwandeln:
2 | 0
1 | 1
Exponent unbeschränkt positiv: 10
Exponent mit führenden Nullen: 0010
Zweierkomplement:
Einerkomplement: 1101
1
Zweierkomplement: 1110
Exponent: 1110, Vorzeichen: 1
vm m m m m m m m m m m ve e e e e
1 1 0 0 1 1 0 1 0 1 0 1 1 1 1 0
vm ve e e e e m m m m m m m m m m
1 1 1 1 1 0 1 0 0 1 1 0 1 0 1 0
ve e e e e vm m m m m m m m m m m
1 1 1 1 0 1 1 0 0 1 1 0 1 0 1 0
33
ganzzahliger Teil:
33 | 1
16 | 0
8 | 0
4 | 0
2 | 0
1 | 1
Nachkommateil:
Gesamt: 0 100001, (die 0 steht für das Vorzeichen + - beachte den Abstand)
Mantisse wäre: 1000010000
Exponent wäre: 6
Exponent umwandeln:
6 | 0
3 | 1
1 | 1
Exponent unbeschränkt positiv: 110
Exponent: 0110, Vorzeichen: 0
vm m m m m m m m m m m ve e e e e
0 1 0 0 0 0 1 0 0 0 0 0 0 1 1 0
vm ve e e e e m m m m m m m m m m
0 0 0 1 1 0 1 0 0 0 0 1 0 0 0 0
ve e e e e vm m m m m m m m m m m
0 0 1 1 0 0 1 0 0 0 0 1 0 0 0 0
470,171875
ganzzahliger Teil:
470 | 0
235 | 1
117 | 1
58 | 0
29 | 1
14 | 0
7 | 1
3 | 1
1 | 1
Nachkommateil:
0.17187500 | 0
0.34375000 | 0
0.68750000 | 1
0.37500000 | 0
0.75000000 | 1
0.50000000 | 1
Gesamt: 0 111010110,001011
Mantisse wäre: 1110101100
Exponent wäre: 9
Exponent umwandeln:
9 | 1
4 | 0
2 | 0
1 | 1
Exponent unbeschränkt positiv: 1001
Exponent: 1001, Vorzeichen: 0
vm m m m m m m m m m m ve e e e e
0 1 1 1 0 1 0 1 1 0 0 0 1 0 0 1
vm ve e e e e m m m m m m m m m m
0 0 1 0 0 1 1 1 1 0 1 0 1 1 0 0
ve e e e e vm m m m m m m m m m m
0 1 0 0 1 0 1 1 1 0 1 0 1 1 0 0
-17,2145
ganzzahliger Teil:
17 | 1
8 | 0
4 | 0
2 | 0
1 | 1
Nachkommateil:
0.21450000 | 0
0.42900000 | 0
0.85800000 | 1
0.71600000 | 1
0.43200000 | 0
0.86400000 | 1
0.72800000 | 1
0.45600000 | 0
0.91200000 | 1
0.82400000 | 1
0.64800000 | 1
0.29600000 | 0
0.59200000 | 1
0.18400000 | 0
0.36800000 | 0
0.73600000 | 1
0.47200000 | 0
0.94400000 | 1
Gesamt: 1 10001,001101101110100101
Mantisse wäre: 1000100110
Exponent wäre: 5
Exponent umwandeln:
5 | 1
2 | 0
1 | 1
Exponent unbeschränkt positiv: 101
Exponent: 0101, Vorzeichen: 0
vm m m m m m m m m m m ve e e e e
1 1 0 0 0 1 0 0 1 1 0 0 0 1 0 1
vm ve e e e e m m m m m m m m m m
1 0 0 1 0 1 1 0 0 0 1 0 0 1 1 0
ve e e e e vm m m m m m m m m m m
0 0 1 0 1 1 1 0 0 0 1 0 0 1 1 0
-0,015625
ganzzahliger Teil:
Nachkommateil:
0.01562500 | 0
0.03125000 | 0
0.06250000 | 0
0.12500000 | 0
0.25000000 | 0
0.50000000 | 1
Gesamt: 1 ,000001
Mantisse wäre: 1000000000
Exponent wäre: -5
Exponent umwandeln:
5 | 1
2 | 0
1 | 1
Exponent unbeschränkt positiv: 101
Exponent mit führenden Nullen: 0101
Zweierkomplement:
Einerkomplement: 1010
1
Zweierkomplement: 1011
Exponent: 1011, Vorzeichen: 1
vm m m m m m m m m m m ve e e e e
1 1 0 0 0 0 0 0 0 0 0 1 1 0 1 1
vm ve e e e e m m m m m m m m m m
1 1 1 0 1 1 1 0 0 0 0 0 0 0 0 0
ve e e e e vm m m m m m m m m m m
1 1 0 1 1 1 1 0 0 0 0 0 0 0 0 0
12739
ganzzahliger Teil:
12739 | 1
6369 | 1
3184 | 0
1592 | 0
796 | 0
398 | 0
199 | 1
99 | 1
49 | 1
24 | 0
12 | 0
6 | 0
3 | 1
1 | 1
Nachkommateil:
Gesamt: 0 11000111000011,
Mantisse wäre: 1100011100
Exponent wäre: 14
Exponent umwandeln:
14 | 0
7 | 1
3 | 1
1 | 1
Exponent unbeschränkt positiv: 1110
Exponent: 1110, Vorzeichen: 0
vm m m m m m m m m m m ve e e e e
0 1 1 0 0 0 1 1 1 0 0 0 1 1 1 0
vm ve e e e e m m m m m m m m m m
0 0 1 1 1 0 1 1 0 0 0 1 1 1 0 0
ve e e e e vm m m m m m m m m m m
0 1 1 1 0 0 1 1 0 0 0 1 1 1 0 0
Zurückrechnen
Gegeben sind die Zahlen im 2. Format, m = 9 und e = 3:0 0 1 0 1 1 1 1 1 1 0 0 0 0Beide Vorzeichen positiv
Mantisse: 1111100002
positiver Exponent: 1012 = 510
Zahl in normierter Gleitkommadarstellung: 0,111112 * 25 = 111112
Ergebnis: 31
1 0 1 1 1 1 1 0 0 1 0 1 0 1Vorzeichen der Mantisse negativ, daher ist die Zahl negativ
Mantisse: 1100101012
positiver Exponent: 1112 = 710
Zahl in normierter Gleitkommadarstellung: -0,1100101012 * 27 = 1100101,012
Ergebnis: -101,25
1 1 1 1 0 1 0 0 1 1 0 1 0 1beide Vorzeichen negativ, daher ist die Zahl negativ und der Exponent negativ
negative Mantisse: -1001101012
negativer Exponent, daher Zweierkomplement des Exponenten: 0102 = -210
Zahl in normierter Gleitkommadarstellung: -0,1001101012 * 2-2 = 0,001001101012
Ergebnis: -0.15087890625
(Vergleichen Sie das mit dem Ergebnis des Beispiels ganz oben!)
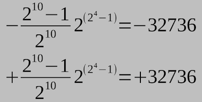
Zahlenbereich
Die Formel aus der Schulübung:Eingesetzt für B = 2 (Binärsystem), m = 10 (von ganz oben) und e = 4 (von ganz oben):
Labels: POS1-1
Aufgabe zu Vererbung in Java (POS1: 2A, 2C)
Implementieren Sie die Klassen aus dem Buch Kapitel 7.
Machen Sie die Übung 7.10 (Seite 87).
Zeichnen Sie zu Übung 7.10 das passende UML-Klassendiagramm.
Sehen Sie sich auch die folgenden Einträge an:
Machen Sie die Übung 7.10 (Seite 87).
Zeichnen Sie zu Übung 7.10 das passende UML-Klassendiagramm.
Sehen Sie sich auch die folgenden Einträge an:
Mittwoch, 20. April 2011
Locking- und Updateprobleme mit RMI (PR: 5A, 5B)
Da bei normalen "Remote-Objekten" immer ganze Objekte übertragen werden, hat man echtes Call-By-Value. Man arbeitet also mit Kopien von Objekten. Das gilt sowohl für Objekte, die an eine Methode eines Remote-Objekts übergeben werden als auch für Objekte als Returnwerte.
Normalerweise werden innerhalb einer JVM Objekte immer als Referenz übergeben bzw. zurückgegeben. Über RMI werden die Objekte immer serialisiert und komplett übertragen.
Das wirkt sich bei unserem "Data-Beispiel" so aus, dass Updates erst "sichtbar" werden, wenn die Daten auch wieder von der Datei geladen werden. Sollte das Locking direkt in der Record-Implementierung erfolgen, so muss man bedenken, dass auch immer ein
Abhilfe?
Man darf dem Client nur Referenzen zur Verfügung stellen. Nur der Server arbeitet mit den "echten" Objekten. - Klar, und wie geht das?
Das herauszufinden war nicht einfach, die Java-Dokumentation von Sun (Oracle) schweigt sch diesbezüglich aus, zumindest was direkte Lösungsvorschläge und Beispielcode angeht.
Grundsätzliche Erklärung und Beispiele zur Funktionsweise von RMI hilft etwas: jGuru: Remote Method Invocation (RMI) aber die letzte zündende Idee bekommt man durch How to return object and return object reference in Java RMI
Der Unterschied liegt in der Klassendefinition. Wenn die Klasse eine Unterklasse von
Ein Beispiel wird in Kürze geliefert.
Normalerweise werden innerhalb einer JVM Objekte immer als Referenz übergeben bzw. zurückgegeben. Über RMI werden die Objekte immer serialisiert und komplett übertragen.
Das wirkt sich bei unserem "Data-Beispiel" so aus, dass Updates erst "sichtbar" werden, wenn die Daten auch wieder von der Datei geladen werden. Sollte das Locking direkt in der Record-Implementierung erfolgen, so muss man bedenken, dass auch immer ein
Record-Objekt übertragen wird und der Client mit einer Kopie arbeitet. Damit bekommt er immer den Lock!Abhilfe?
Man darf dem Client nur Referenzen zur Verfügung stellen. Nur der Server arbeitet mit den "echten" Objekten. - Klar, und wie geht das?
Das herauszufinden war nicht einfach, die Java-Dokumentation von Sun (Oracle) schweigt sch diesbezüglich aus, zumindest was direkte Lösungsvorschläge und Beispielcode angeht.
Grundsätzliche Erklärung und Beispiele zur Funktionsweise von RMI hilft etwas: jGuru: Remote Method Invocation (RMI) aber die letzte zündende Idee bekommt man durch How to return object and return object reference in Java RMI
Der Unterschied liegt in der Klassendefinition. Wenn die Klasse eine Unterklasse von
UnicastRemoteObject ist, so ist sie damit RMI-fähig (kann RMI-Service anbieten). In diesem Fall wird also eine Referenz zurückgegeben werden. Wenn die Klasse nur Serializable implementiert, so ist die Klasse nicht für RMI-Aufrufe geeignet (kein RMI-Service) und es wird das Objekt zurückgegeben werden.Ein Beispiel wird in Kürze geliefert.
Freitag, 15. April 2011
Serialisierungsprobleme mit RMI (PR: 5A, 5B)
Remote Method Invocation funktioniert nur für Objekte, welche serialisiert werden können (die also das Interface
Dazu kann man die Methoden des Interfaces
Serializable implementieren). Wird innerhalb eines Objekts, welches über RMI gebunden werden soll, eine Referenz auf ein nicht serialisierbares Objekt benötigt, so bekommt man immer eine Exception der Art (z.B. für RandomAccessFile):sun.rmi.registry.RegistryImpl_Stub.rebind(Unknown Source) java.rmi.Naming.rebind(Naming.java:177) rmi.Server.run(Server.java:43) rmi.Server.main(Server.java:68) error marshalling arguments; nested exception is: java.io.NotSerializableException: java.io.RandomAccessFile
RandomAccessFile ist nicht serialisierbar, weil der innere Zustand so eines Objekts von der Laufzeitumgebung (Betriebssystem, Dateisystem, etc.) abhängt. Eine Referenz auf ein RandomAccessFile-Objekt muss als transient deklariert werden. Wenn nötig, dann muss der Zustand selbst gespeichert bzw. wiederhergestellt werden, z.B. in Form des Dateinamens und der Position innerhalb der Datei.Dazu kann man die Methoden des Interfaces
Serializable implementieren:private void writeObject(java.io.ObjectOutputStream out)
throws IOException
private void readObject(java.io.ObjectInputStream in)
throws IOException, ClassNotFoundException;
private void readObjectNoData()
throws ObjectStreamException;
Für die Zwecke der Data-Klasse genügen die ersten beiden Methoden. Folgender Ausschnitt aus der Data-Klasse soll dies verdeutlichen:public class Data implements DB, Header, Serializable {
private static final long serialVersionUID = -8958941842720498616L;
private transient RandomAccessFile database;
private String filename;
private transient Logger log = Logger.getLogger(LOGURL);
private DBHeader header;
private TreeMap data;
private int lastDeleted = -1; // zuletzt gelöschter Datensatz
private void writeObject(ObjectOutputStream stream) throws IOException {
stream.defaultWriteObject();
stream.writeLong(database.getFilePointer());
}
private void readObject(ObjectInputStream stream) throws IOException {
try {
stream.defaultReadObject();
} catch (ClassNotFoundException e) {
String msg = "Unable to find class";
if (e.getMessage() != null)
msg += ": " + e.getMessage();
throw new IOException(msg);
}
database = new RandomAccessFile(filename, "rw");
database.seek(stream.readLong());
log = Logger.getLogger(LOGURL);
}
//... weiterer Code entfernt
}
Hier ist auch der Logger transient, da auch der Logger vom Dateisystem abhängt und nicht serialisiert werden kann.Mittwoch, 13. April 2011
Package für Data, Header, Record (PR: 5A, 5B)
Verwenden Sie unbedingt das Package
data für die Klassen und Interfaces DB, Data, Header und Record. Nur so kann der Datenteil automatisch getestet werden.Dienstag, 12. April 2011
Refactoring Data - Interface Record (PR: 5A, 5B)
Um einfacher automatisch testen zu können, soll das Interface
Überdies wird hier Refactoring geübt, da das Programm (die Klassen) entsprechend angepasst werden müssen (Ihre
Record (anstatt einer Klasse Record) bei der Datenklasse Data verwendet werden.package data;
/**
* RuD-Übung 2011
*
* data.Record.java
* @author (c) 2011, Harald R. Haberstroh
* 1.3.2011
*/
import java.rmi.Remote;
import java.rmi.RemoteException;
/**
* @author Harald R. Haberstroh (hh)
*
*/
public interface Record extends Remote {
/**
* @return Anzahl der Felder dieses Datensatzes z.B. 8
*/
public int getCntFields() throws RemoteException;
/**
* @return liefert alle Felder verkettet in einen String mit ';' getrennt
* z.B.
* "12;49.82012,17.260019;47.81497,16.260409;523;201102131510;67;2345121269;O"
* Strings sind unter Hochkomma zu setzen. z.B.
* "\"wlr1\";\"Werk Laderoboter 1\";\" 50\";\" 50\""
*/
public String getCsvString() throws RemoteException;
/**
* Setzt die Felder auf die gegebenen Strings. Gegebenenfalls sind die
* Strings abzuschneiden. Die Anzahl der Strings stimmt beim Aufruf von
* setFields() auf alle Fälle mit getCntFields() überein (Prüfung braucht
* nicht zu erfolgen).
*
* @param fields
* Array mit den Feldwerten.
* @throws RemoteException
*/
public void setFields(String[] fields) throws RemoteException;
}
Damit kann per JUnit-Test ganz einfach der Inhalt eines Datensatzes und die Anzahl der Felder geprüft werden.Überdies wird hier Refactoring geübt, da das Programm (die Klassen) entsprechend angepasst werden müssen (Ihre
Record-Klasse muss umbenannt werden und eben das gegebene Interface implementieren).Montag, 11. April 2011
RoboCupJunior 2011 in Wels
Heuer sind wir mit 3 Teams zu diesem Bewerb gefahren und haben bei einem Bewerb sogar den dritten Platz erreicht. Hier ein paar Eindrücke:
Die ersten Bilder zeigen das Zimmer, die Vorbesprechung am Abend des Anreisetags und ein paar Bilder von Wels. Dann gibt es jede Menge Eindrücke vom Bewerb.
Weitere Informationen gibt es unter robocupjunior.at und www.robo4you.at (diese Seite ist noch im Entstehen).
Die ersten Bilder zeigen das Zimmer, die Vorbesprechung am Abend des Anreisetags und ein paar Bilder von Wels. Dann gibt es jede Menge Eindrücke vom Bewerb.
Weitere Informationen gibt es unter robocupjunior.at und www.robo4you.at (diese Seite ist noch im Entstehen).
Freitag, 8. April 2011
Aufgabe Gruppenwechsel Ski (POS1: 2A, 2C)
Schreiben Sie eine Java-Klasse

Lesen Sie die
Nennen Sie das Projekt
Sollte eine neue Sortierung des Sätze notwendig sein, bitte mit OpenOffice Calc oder Excel sortieren. 1-er Kandidaten sortieren bitte mit eigenem Sortprogramm.
INFO: es handelt sich um einen zweistufigen Gruppenwechsel mit den Gruppen
Eine Einführung in den Gruppenwechsel finden Sie in der Datei gruppenwechsel.pdf
Aufruf des Programms:
Die Option
Beispiel Statistik:
Achtung: Die obige Ausgabe stellt nur einen Ausschnitt dar (Aufruf mit Option
Erstellen Sie ein neues Programm so, dass sie statt der CSV-Eingabedatei auch eine Datei im binären Datenformat verwenden können. Die Daten sind wie folgt gespeichert (C-Datentypen):
Die passende Datei mit Testdaten finden Sie hier: daten.dat.
Den Inhalt dieser Datei kann man nur mit einem Programm öffnen, das die Daten binär lesen kann und sinnvoll, z.B. im Hexadezimalsystem, anzeigen kann.
Die Ausgabe von
Es soll wieder ein 2-stufiger Gruppenwechsel programmiert werden (Artikel und Verkäufer).
Zum Vergleich können Sie die Daten auch im CSV-Format verwenden: daten.csv.
Versuchen Sie, die beiden Varianten, jene mit den Ski-Daten und jene mit den (binären) Umsatzdaten, so zu gestalten, dass nur geringe Teile unterschiedlich sind (am Besten austauschbare Klassen mit gleichem Namen für die Daten und für die Formatierung). Der Hauptalgorithmus bleibt ja gleich.
Grw.java, welches aus dem Datenbestand ski.csv die beigelegte Statistik erzeugt.Lesen Sie die
csv -Datei zeilenweise und erstellen Sie aus jeder Zeile ein Objekt einer Klasse SkiDaten, die alle notwendigen Attribute (Klasse, Name, Geb.Datum,....) enthält.Nennen Sie das Projekt
grwski (also insgesamt z.B. 2ad-haberstroh-grwski). Sollte eine neue Sortierung des Sätze notwendig sein, bitte mit OpenOffice Calc oder Excel sortieren. 1-er Kandidaten sortieren bitte mit eigenem Sortprogramm.
INFO: es handelt sich um einen zweistufigen Gruppenwechsel mit den Gruppen
KLASSE und GESCHLund einer Gesamtdarstellung des Durchschnitts!
Eine Einführung in den Gruppenwechsel finden Sie in der Datei gruppenwechsel.pdf
Aufruf des Programms:
java Grw [-h | -o ausgabedat] [-d] eingabedatei
Die Option
-d bewirkt die Ausgabe der Detailzeilen, ohne -d nur Summenzeilen ausgeben!Beispiel Statistik:
------------------------------------------------------------------ STATISTIK zum Schuelerrennen der HTL am SKIKURS 2006 in OBERTAUERN ------------------------------------------------------------------ AMINGER Georg 0.02 ELIAS Thomas 0.97 GALAVICS Marcus 0.15 GALLAUNER Alexander 0.26 HECHER Markus 0.58 HERMANN Gregor 0.65 KAMPER Raphael 0.55 KRIVOKUCA Milan 7.73 MOSER Christoph 2.34 NEPOLA René 0.14 PRIELER Stefan 0.63 RECHBERGER Christian 3.11 RIEGLER Mario 0.87 SCHNEEBERGER Joerg 1.22 SENN Bernhard 0.65 WIESSNER Maximilian 1.61 ZENZ Markus 2.04 die durchschnittliche Zeitdifferenz bei den MAENNERN betraegt: 1.38 die KLASSE 2AHDV erreichte eine Durchschnittsdifferenz von 1.38 Sekunden CMUND Katharina 2.81 HARATHER Alice 1.87 KONLECHNER Viktoria 0.39 RIEGER Jennifer 0.63 RINNHOFER Elisabeth 1.65 ........................................................... ........................................................... REICHHART Thomas 0.30 RIEDER Dominik 1.07 SCHERMANN Georg 0.85 STANGL Stefan 1.48 STAUFER Andreas 0.47 die durchschnittliche Zeitdifferenz bei den MAENNERN betraegt: 2.38 die KLASSE 3CHDV erreichte eine Durchschnittsdifferenz von 2.36 Sekunden ************************************************GESAMT-Differenz : 1.93
Achtung: Die obige Ausgabe stellt nur einen Ausschnitt dar (Aufruf mit Option
-d) und es wurde die vorletzte Zeile (Hüpfner) gelöscht, da dort extrem abweichende Zeiten vorkommen (die Schülerin ist scheinbar gestürzt). Die Gesamt-Different würde mit dieser Zeile 11,37 Sekunden betragen.Binäres Dateiformat für Eingabe
Erstellen Sie ein neues Programm so, dass sie statt der CSV-Eingabedatei auch eine Datei im binären Datenformat verwenden können. Die Daten sind wie folgt gespeichert (C-Datentypen):
typedef struct umsatz {
char artikel[25];
char verkaeufer[25];
int vkpreis;
int monat;
} umsatz_t;Dabei ist char artikel[25] ein maximal 24-Zeichen langer String, bei dem jedes Zeichen (ASCII) als ein Byte gespeichert wird. Das Ende des Strings wird durch das Zeichen '\0' abgeschlossen (das hat tatsächlich den Wert 0). D.h. es müssen bis zu 25 Bytes gelesen werden, wobei nur die Zeichen bis exklusive '\0' (direkt) in Java-chars umgewandelt werden können (verwenden Sie z.B. RandomAccessFile.read(byte[] buf)).int entspricht einem 32-Bit-Integer und passt zum Java-Typ int.Die passende Datei mit Testdaten finden Sie hier: daten.dat.
Den Inhalt dieser Datei kann man nur mit einem Programm öffnen, das die Daten binär lesen kann und sinnvoll, z.B. im Hexadezimalsystem, anzeigen kann.
khexedit oder das Konsolenprogramm hexdump eignen sich dafür.Die Ausgabe von
hexdump könnte so aussehen (gekürzt):hp@L211 $ hexdump -C daten.dat 00000000 50 72 6f 64 30 31 00 01 4c 00 ba 01 e5 e2 e6 b7 |Prod01..L.......| 00000010 00 00 00 00 e4 98 04 08 28 4d 61 69 65 72 00 08 |........(Maier..| 00000020 a0 fc f5 b7 dc e9 b9 bf 48 e9 b9 bf f1 86 04 08 |........H.......| 00000030 90 8b f8 b7 dc 00 00 00 01 00 00 00 50 72 6f 64 |............Prod| 00000040 30 32 00 01 4c 00 ba 01 e5 e2 e6 b7 00 00 00 00 |02..L...........| 00000050 e4 98 04 08 28 4d 61 69 65 72 00 08 a0 fc f5 b7 |....(Maier......| 00000060 dc e9 b9 bf 48 e9 b9 bf f1 86 04 08 90 8b f8 b7 |....H...........| 00000070 90 01 00 00 02 00 00 00 50 72 6f 64 30 33 00 01 |........Prod03..| 00000080 4c 00 ba 01 e5 e2 e6 b7 00 00 00 00 e4 98 04 08 |L...............| 00000090 28 48 75 62 65 72 00 08 a0 fc f5 b7 dc e9 b9 bf |(Huber..........|
Es soll wieder ein 2-stufiger Gruppenwechsel programmiert werden (Artikel und Verkäufer).
Zum Vergleich können Sie die Daten auch im CSV-Format verwenden: daten.csv.
Versuchen Sie, die beiden Varianten, jene mit den Ski-Daten und jene mit den (binären) Umsatzdaten, so zu gestalten, dass nur geringe Teile unterschiedlich sind (am Besten austauschbare Klassen mit gleichem Namen für die Daten und für die Formatierung). Der Hauptalgorithmus bleibt ja gleich.
Mittwoch, 6. April 2011
GUI für RMI-Client (PR: 5A, 5B)
Erstellen Sie für den Client unserer RMI-Client/Server-Anwendung eine grafische Oberfläche, welche den Inhalt der Datenbank (evtl als Ausschnitt) in einer JTable darstellt. Es soll möglich sein, einzelne Werte zu ändern, Zeilen zu löschen, neue Zeilen einzufügen und zu Suchen (eigener Dialog). Bei der Suche sind nur die gefundenen Datensätze anzuzeigen.
Das GUI könnte (minimal, die Funktionen zum Löschen, Einfügen und Suchen sind in "Edit" versteckt) etwa so aussehen:
Das GUI könnte (minimal, die Funktionen zum Löschen, Einfügen und Suchen sind in "Edit" versteckt) etwa so aussehen:
Aufrufstack (Call Stack) (POS1: 2A, 2C)
Jede Laufzeitumgebung eines Programms muss beim Aufruf von Funktionen oder Methoden folgende Informationen verwalten:
Bei der folgenden Darstellung werden Strings wie primitive Werte dargestellt, also direkt bei der Variable. Richtigerweise sind Strings aber Objekte.
Die Darstellung zeigt den Speicher schematisch für die Zeilen Bar:8, Bar:14 und die gesuchte Zeile Foo:10.
Auf das Bild Klicken für weiteres Bild...
- Parameter
- Rücksprungadresse (wohin kehrt Funktion zurück?)
- lokale Variable
- Objektreferenz (
this- oderself-Referenz zum Objekt zu dem die Methode gehört)
Die Objektreferenz wird nur für objektorientierte Sprachen benötigt. Sie ist meist versteckt. In Python muss sie beim Erstellen der Klasse explizit angegeben werden (
self). Bei einem Aufruf objekt.methode(...) wird intern dann etwas wie methode(objekt, ...) erzeugt (... stellt die Parameter der Methode dar).Oben genannte Informationen werden auf einem Stack abgelegt, dem Aufrufstack oder Call Stack. Je nach Implementierung können noch weitere Informationen dazukommen.
Beispiele zur Darstellung finden Sie hier: Aufrufstack und Lösung zum Aufrufstack (dieses Beispiel verwendet praktisch keine Objektreferenzen, d.h. Objekte werden nicht dargestellt).
Im Folgenden finden Sie ein einfaches Beispiel mit zwei Klassen:
Beispiele zur Darstellung finden Sie hier: Aufrufstack und Lösung zum Aufrufstack (dieses Beispiel verwendet praktisch keine Objektreferenzen, d.h. Objekte werden nicht dargestellt).
Im Folgenden finden Sie ein einfaches Beispiel mit zwei Klassen:
public class Bar {
private Foo[] bars = new Foo[2];
private int n = 0;
public static void main(String[] args) {
Bar o = new Bar();
for (int i = 0; i < 6; i++) {
Foo m = new Foo("" + i);
o.add(m);
}
}
public void add(Foo m) {
bars[n] = m;
n++;
if (n == bars.length) {
for (int i = 0; i < bars.length; i++) {
System.out.println(bars[i].getName());
}
}
}
}
public class Foo {
private String name;
public Foo() {
this("no name");
}
public Foo(String name) {
this.name = name;
}
public String getName() {
return "Foo [name=" + name + "]";
}
}
Die Aufgabenstellung wäre: zeichnen Sie den Aufrufstack und den Heap, wenn das Programm die Zeile 10 in der Klasse Foo erreicht. Das Programm soll dabei mit folgendem Aufruf gestartet worden sein: java Bar testBei der folgenden Darstellung werden Strings wie primitive Werte dargestellt, also direkt bei der Variable. Richtigerweise sind Strings aber Objekte.
Die Darstellung zeigt den Speicher schematisch für die Zeilen Bar:8, Bar:14 und die gesuchte Zeile Foo:10.
Auf das Bild Klicken für weiteres Bild...
Labels: allgemeines, POS1-2
Abonnieren Kommentare [Atom]



